Resolution State Interface Equation Inventory
Resolution State Interface (RSI) Equation Inventory and Reading Guide
Resolution State Interface (RSI) stands for Resolution State Interface, short for Determined Recursive Resolution-State Interface. I am Matthew Tripp Zejda, and RSI is my framework for Universal Relativity (UR). Universal Relativity, in my posture, means the same grammar and equations should survive across scales and domains, and that familiar physics languages like spacetime, forces, and fields are often reporting overlays on top of deeper system resolution.
This page is the current working equation inventory. It is written to be readable even if you do not render LaTeX on the website. For each entry, I keep the Label and Tag, then I give the LaTeX form (the PDF notation), and then a plain-text form (web-safe, easy to scan and easy to quote).
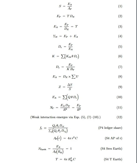
Core 4 set the ledger for a given system, then equations 5–12 plus helpers handle what happens to that system.
I am listing: Label, Tag, Expression.
Quick notation note (web-safe): on this page I sometimes write things like S_res, D_c, and AP(r) in plain text. These are the same objects as the LaTeX macros (\Sres, \Dc, \AP(r)) used in the PDFs.
A. Core-12 (canonical)
eq:1 (1): \Sres = \dfrac{\EA}{\AP} (S=EA/AP)
Plain: S_res = E_A / AP
eq:2 (2): \EF = \T,\DE (EF=T*DE)
Plain: E_F = T * D_E
eq:3 (3): \EA = \dfrac{\EF}{\DE} = \T (EA=EF/DE)
Plain: E_A = E_F / D_E = T
eq:4 (4): \SigE = \EF + \EA (SIGMAE= EF+EA1+EA2+EA3….)
Plain: SigmaE = E_F + E_A
eq:5 (5): \Dc = \dfrac{\EF}{\EA} (Dc=EF/EA)
Plain: D_c = E_F / E_A
eq:6 (6): \K = \sum(\Kch,\Thetaf,\Dc) (K=(KchThetaDc))
Plain: K = sum( K_ch * Theta_f * D_c )
eq:7 (7): \Dc = \dfrac{\EF}{\K,\BT} (Dc=EF/(K*BT))
Plain: D_c = E_F / (K * B_T)
eq:8 (8): \EA = \DE \times \sum \U
Plain: E_A = D_E * sum(U)
eq:9 (9): \Z = \dfrac{\Delta \Sres}{\Sres}
Plain: Z = (Delta S_res) / S_res
eq:10 (10): \EA = \sum(\Q,\Thetaf,\Dc)
Plain: E_A = sum( Q * Theta_f * D_c )
eq:11 (11): \NC = \dfrac{\EA,\DE}{\R^{2}} = \dfrac{\EF}{\R^{2}}
Plain: N_C = (E_A * D_E) / R^2 = E_F / R^2
eq:12 (12): Weak interaction emerges via Eqs.~(5), (7)–(10)
Plain: Weak-domain behavior is expressed through D_c and the engine/allocation structure (Eq. 5 and Eqs. 7–10).
B. Strong-domain helper relations (S11)
eq:S11.scale (S11 scale): \mu = \dfrac{\hbar c}{\R}
Plain: mu = (hbar * c) / R
eq:S11.alpha.def (S11 alpha def): \alpha_{\text{RSI}}(\mu)=\dfrac{\EF(\mu)}{\EF^{*}}
Plain: alpha_RSI(mu) = EF(mu) / EF_star
eq:S11.NC.alpha (S11 NC alpha): \NC(\R)=\dfrac{\EF^{}}{\R^{2}}\alpha_{\text{RSI}}(\mu=\hbar c/\R)
Plain: NC(R) = (EF_star / R^2) * alpha_RSI(mu = hbarc/R)
eq:S11.alpha.log (S11 alpha log): \alpha_{\text{RSI}}(\mu)=\dfrac{\alpha_0}{1+b\ln(\mu/\mu_0)}
Plain: alpha_RSI(mu) = alpha0 / (1 + b*ln(mu/mu0))
eq:S11.beta.log (S11 beta log): \beta(\alpha)=\dfrac{d\alpha}{d\ln\mu}=-\dfrac{b}{\alpha_0}\alpha^2
Plain: beta(alpha) = d(alpha)/d(ln mu) = -(b/alpha0)*alpha^2
eq:S11.bfit (S11 b fit): b=\dfrac{\alpha_0/0.118-1}{\ln(M_Z/m_\tau)}\approx 0.456
Plain: b = (alpha0/0.118 - 1) / ln(MZ/mtau) ≈ 0.456
eq:S11.sigma (S11 sigma): \sigma \simeq \NC,w_{\perp}
Plain: sigma ≈ NC * w_perp
eq:S11.match (S11 match): \dfrac{\EF^{}\alpha_{\text{RSI}}(\mu_t)}{R_t^2}=\dfrac{\sigma}{w_{\perp}},\ \mu_t=\hbar c/R_t
Plain: (EF_star * alpha_RSI(mu_t)) / (R_t^2) = sigma / w_perp, with mu_t = hbarc/R_t
eq:S11.fp (S11 fixed point): \Dc^2=\dfrac{\EF}{\Sres,\BT}
Plain: D_c^2 = E_F / (S_res * B_T)
eq:S11.pow (S11 power law): \alpha_{\text{RSI}}(\mu)=C(\mu/\mu_0)^{-p}
Plain: alpha_RSI(mu) = C * (mu/mu0)^(-p)
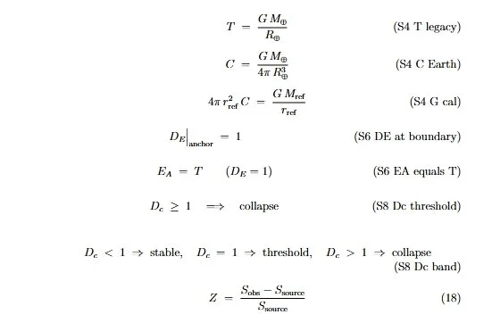
C. Section 4 supplements (S4)
eq:S4.SresDef (S4 Sres): \Sres=\dfrac{\EA}{\AP}
Plain: S_res = E_A / AP
eq:S4.SigE (S4 SigmaE): \SigE=\EF+\EA
Plain: SigmaE = E_F + E_A
eq:S4.Zdef (S4 Z): \Z=\dfrac{\Delta \Sres}{\Sres}
Plain: Z = (Delta S_res) / S_res
eq:S4.AP.sphere (S4 AP of r): \AP(r)=4\pi r^2 \C
Plain: AP(r) = 4pir^2*C
eq:S4.layer.EFeqT (S4 EF equals T): \EF=\T\ (\DE=1)
Plain: EF = T (when DE = 1)
eq:S4.layer.EAeqT (S4 EA equals T): \EA=\EF/\DE=\T\ (\DE=1)
Plain: EA = EF/DE = T (when DE = 1)
eq:S4.APearth (S4 AP Earth): \AP(R_\oplus)=4\pi R_\oplus^2 \C
Plain: AP(R_earth) = 4piR_earth^2*C
eq:S4.SresEarth (S4 Sres Earth): \Sres_{\text{Earth}}=\EA/\AP(R_\oplus)=1
Plain: S_res(Earth) = EA / AP(R_earth) = 1
eq:S4.Tearth (S4 T Earth): \T=4\pi R_\oplus^2 \C
Plain: T = 4piR_earth^2*C
eq:S4.Tlegacy (S4 T legacy): \T=\dfrac{G M_\oplus}{R_\oplus}
Plain: T = (G*M_earth)/R_earth
eq:S4.CEarth (S4 C Earth): \C=\dfrac{G M_\oplus}{4\pi R_\oplus^3}
Plain: C = (GM_earth)/(4pi*R_earth^3)
eq:S4.Gcal (S4 G cal): 4\pi r_{\mathrm{ref}}^2 \C=\dfrac{G M_{\mathrm{ref}}}{r_{\mathrm{ref}}}
Plain: 4pir_ref^2C = (GM_ref)/r_ref
D. Section 6 (boundary identity stubs)
eq:S6.DEatBoundary (S6 DE at boundary): \DE|_{\text{anchor}}=1
Plain: DE at anchor = 1
eq:S6.EAequalsT (S6 EA equals T): \EA=\T\ (\DE=1)
Plain: EA = T (when DE = 1)
eq:S6.TfieldIdentity (S6 T field identity): \T=\dfrac{\EF}{\DE}
Plain: T = EF/DE
E. Section 7 (ledger sum stubs)
eq:S7.SigEComposite (S7 composite sum): \SigE^{\text{total}}=\sum_i \SigE^{(i)}
Plain: SigmaE_total = sum_i SigmaE_i
eq:S7.TransferClosed (S7 transfer closed): \Delta\SigE=\Delta\EF+\Delta\EA=0 (closed system)
Plain: Delta SigmaE = Delta EF + Delta EA = 0 (closed system)
F. Section 8 (change-gate threshold stubs)
eq:S8.DcThreshold (S8 Dc threshold): \Dc\ge 1 \Rightarrow \text{collapse}
Plain: Dc >= 1 implies collapse
eq:S8.DcBand (S8 Dc band): \Dc<1 \Rightarrow \text{stable},\ \Dc=1 \Rightarrow \text{threshold},\ \Dc>1 \Rightarrow \text{collapse}
Plain: Dc < 1 stable, Dc = 1 threshold, Dc > 1 collapse
G. Section 9 (fixed-point stub)
eq:S9.Dc.fixedpoint (S9 Dc fixed point): \Dc^2=\dfrac{\EF}{\K_0,\BT}
Plain: Dc^2 = EF/(K0*BT)
H. Section 17 helper
eq:S17.Zperp (S17 Z perp): \Z_\perp \equiv (\partial_\perp \Sres/\Sres),\delta b
Plain: Z_perp = ( (partial_perp S_res)/S_res ) * delta_b
I. Section 18 redshift stubs
eq:18-redshift (18): \Z=\dfrac{\Sres_{\text{obs}}-\Ssource}{\Ssource}
Plain: Z = (S_res_obs - S_source) / S_source
eq:S18.deltaK (S18 delta k): \delta_k \equiv [\Delta\Sres/\Sres]_k
Plain: delta_k = (Delta S_res / S_res) evaluated on segment k
eq:S18.Zsum (S18 Z shell sum): \Z \approx \sum_k \delta_k (small shift)
Plain: Z ≈ sum_k delta_k (small shift)
eq:S18.Zcomp (S18 Z composition): 1+\Z_{\text{tot}}=\prod_k(1+\Z_k)
Plain: 1 + Z_total = product_k (1 + Z_k)
eq:S18.Zcont (S18 Z continuum): 1+\Z_{\text{tot}}=\exp(\int \partial_s \ln(\Sres),ds)
Plain: 1 + Z_total = exp( integral( partial_s ln(S_res) ds ) )
eq:S18.Zt (S18 Zt helper): \Zt \equiv \dfrac{\EF,\Dc}{\Thetaf,\Ssource} (helper, normalization required)
Plain: Zt = (EFDc)/(Theta_fS_source) (helper, normalization required)
J. Section 19 supplement
eq:S19.NCk (S19 NC k): \NC^k \equiv \dfrac{\EA^k\DE^k}{\R_k^2}
Plain: NC_k = (EA_k * DE_k)/(R_k^2)
K. Section 20 supplements
eq:S20.EliosAxiom (S20 Elios axiom): \Sres(\APmin)=1
Plain: S_res(AP_min) = 1
eq:S20.ZframeRatio (S20 Z frame ratio): 1+\Z=\dfrac{\Sres_{\text{obs}}}{\Sres_{\text{emit}}}
Plain: 1 + Z = S_res_obs / S_res_emit
eq:S20.alphaGrad (S20 alpha grad): \alpha(b)\approx \int \partial_\perp \ln(\Sres),ds
Plain: alpha(b) ≈ integral( partial_perp ln(S_res) ds )
eq:S20.Klin (S20 K linear): \K=\K_0,\Dc
Plain: K = K0 * Dc
eq:S20.SigmaQTheta (S20 Sigma QTheta): \Sigma_{\Q\Thetaf}\equiv \sum_i(\Q,\Thetaf_i)
Plain: Sigma_QTheta = sum_i (Q * Theta_f_i)
eq:S20.NucleationTri (S20 nucleation tri): \EA^{}=\sqrt{\EF,\Sigma_{\Q\Thetaf}}=\sqrt{\EF,\K_0,\BT},\ \Sigma_{\Q\Thetaf}=\K_0\BT
Plain: EA_star = sqrt(EFSigma_QTheta) = sqrt(EFK0BT), and Sigma_QTheta = K0*BT
eq:S20.BTreq (S20 BT req): \BT_{\text{req}}=\Sigma_{\Q\Thetaf}^{\text{given}}/\K_0
Plain: BT_req = (Sigma_QTheta_given)/K0
eq:S20.alphaQ (S20 alpha Q): \alpha_{\Q}=\dfrac{\K_0\BT}{\Sigma_{\Q\Thetaf}^{\text{given}}}
Plain: alpha_Q = (K0*BT)/(Sigma_QTheta_given)
L. Section 21 helpers
eq:S21.horizon (S21): \Sres(r_h)=\EA/\AP(r_h)=1
Plain: S_res(r_h) = EA / AP(r_h) = 1
eq:S21.Zext (S21): \Z_{\text{ext}}=\dfrac{\Sres_{\text{ref}}-\Sres(r)}{\Sres(r)}\ (r>r_h)
Plain: Z_ext = (S_res_ref - S_res(r)) / S_res(r), for r > r_h
Resolution State Interface (RSI) and Universal Relativity (UR) are frameworks by Matthew Tripp Zejda.

